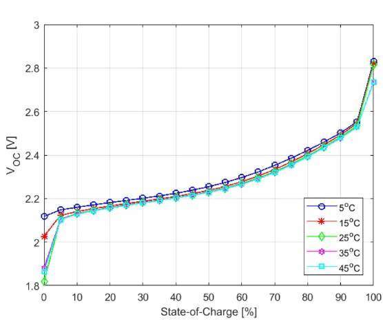
magnetman Posted November 29, 2024 Report Posted November 29, 2024 Another approach is to write down voltage v soc levels from research papers. I have LTO batteries. Approximately 400Ah at 15v. This website is good for SOC OCV graphs. Of course in my case there is no draw overnight as I have no mod cons on this Boat. So these figures are probably reasonably accurate as they are open circuit voltage. For LTO @15v the figure is multiplied by 6. https://www.researchgate.net/figure/The-OCV-SOC-characteristic-of-the-LTO-based-battery-measured-at-different-temperatures_fig4_324117029 for LFP batteries the curve is much flatter between the 'knees' so more difficult. As Nick said about just keep it over 13v all the time and life will be Good.. https://www.researchgate.net/figure/SOC-versus-OCV-Curve-for-an-18650-Lithium-Iron-Phosphate-LFP-Battery-Cell_fig1_304655337
blackrose Posted November 29, 2024 Author Report Posted November 29, 2024 What's the difference between Fogstar Drift and Fogstar Drift Pro? Metal case? Fogstar Drift | Lithium Leisure Batteries
magnetman Posted November 29, 2024 Report Posted November 29, 2024 Not sure but the Drift 'eco' has REPT cells whereas the others have EVE cells. Presumably the EVE cells are more expensive. Maybe BMS difference also? I have been thinking of getting 4 of the 'Eco' 100Ah batteries for one of my electric launches. Price looks nice. £200 each ! They must be inferior to the standard product. The 'Pro' range have com ports (RS485).
cuthound Posted November 29, 2024 Report Posted November 29, 2024 10 hours ago, cheesegas said: It's also about time time spent at low SOC; the lead sulphate awaiting recombining into lead during charging goes hard and then in the end it can't be combined again. Batteries on electric plant such as scissorlifts etc are commonly run down to 10v or so. The default cutoff for Genie machines is 9.25v. However, despite this, batteries commonly last a couple of years before they're no good. This is because they usually get charged as soon as the battery is depleted, and rarely end up sitting with a discharged battery. Which is why the batteries were immediately recharged at the end of the 10 hour discharge. It was a nice little warmer as you worked for 36 hours straight over a weekend. Tiring though.
dmr Posted November 29, 2024 Report Posted November 29, 2024 1 hour ago, blackrose said: What's the difference between Fogstar Drift and Fogstar Drift Pro? Metal case? Fogstar Drift | Lithium Leisure Batteries A different BMS with CanBus, but can't find any details of the BMS, plus a rather odd decuision to have an external balancer which I think does active balance. And m10 rather than m8 bolts. In my case I chose the pro because it is a bit narrower then the standard range so will leave a bit more useable space in my battery box. Fogstar say the external balancer saves a bit of power and only needs connecting a couple of times each year, though I would have preferred built in balancing (I think)
cheesegas Posted November 29, 2024 Report Posted November 29, 2024 (edited) 2 hours ago, blackrose said: What's the difference between Fogstar Drift and Fogstar Drift Pro? Metal case? 1 hour ago, magnetman said: Maybe BMS difference also? The 'Pro' range have com ports (RS485). 16 minutes ago, dmr said: A different BMS with CanBus, but can't find any details of the BMS The BMS is still a JBD but not the high current versions they sell with a contactor - it's still FET based. Model number from the one I've seen inside is SP04S060. No difference to the 250a versions apart from a few extra FETs, different firmware and a socket for an active balancer. It looks like they've had JBD flash it with a custom firmware so the CANBUS registers/frames match up with what the Cerbo is expecting. However, it does not assert control over charge sources like other CANBUS compatible batteries like Pylontechs, which actively tell the MPPT etc what voltage/current to output. It just sends battery data (nominal voltage, cell voltage, current, temp, SOC) to the Cerbo; it appears like a BMV/Smartshunt would. Handy as it saves having a battery gauge in the system. JBDs SOC algorithm used to be pretty bad, but I've noticed the newer boards with newer firmwares are much much better. Edited November 29, 2024 by cheesegas
Russ T Posted November 29, 2024 Report Posted November 29, 2024 (edited) 2 hours ago, magnetman said: Not sure but the Drift 'eco' has REPT cells whereas the others have EVE cells. Presumably the EVE cells are more expensive. What grade cells are they though? The drift make a point of stating grade A Eve cells, whilst the drift eco make no mention of the grade. The JK BMS they sell also suggests its designed for use with EVE cells, though they use a JBD bms in most of the assembled batteries. Interestingly, the grade B envision 280Ah suggest a 6000 cycle lifespan, which is pretty good compared to some of the other offerings. Having said that, the grade A eve cells are the same price for more cycles at the same capacity. Quote Exceptional lifespan: Delivers at least 6,000 cycles when used at a depth of discharge (DOD) of 80%. Edited November 29, 2024 by Rod Stewart 1
nicknorman Posted November 29, 2024 Report Posted November 29, 2024 20 minutes ago, dmr said: A different BMS with CanBus, but can't find any details of the BMS, plus a rather odd decuision to have an external balancer which I think does active balance. And m10 rather than m8 bolts. In my case I chose the pro because it is a bit narrower then the standard range so will leave a bit more useable space in my battery box. Fogstar say the external balancer saves a bit of power and only needs connecting a couple of times each year, though I would have preferred built in balancing (I think) I don’t really see the point of active balancing. It would only be applicable if you wanted to extract the maximum energy during a complete 100% discharge and thus needed top and bottom balancing. If you are only doing top balancing then it has to be done “hardly ever” and so the energy saved by active balancing is between miniscule and zero.
dmr Posted November 29, 2024 Report Posted November 29, 2024 3 minutes ago, nicknorman said: I don’t really see the point of active balancing. It would only be applicable if you wanted to extract the maximum energy during a complete 100% discharge and thus needed top and bottom balancing. If you are only doing top balancing then it has to be done “hardly ever” and so the energy saved by active balancing is between miniscule and zero. Yes, from what I have read good modern cells stay in balance well so as you say the wasted electricity is minimal. I read on a forum somewhere (a sailing forum???) that the balance current is sometimes/possibly not enough to balance big cells that are significantly out of balance. Maybe a higher current active balancer is easier to implement than a passive one that needs a big resistor?, even though the active one needs more components and inductors? Anyway hope I'm not sounding like MrHo here as I am posting about stuff that I have read and I don't (yet) have any hands on experience 😀 and from one extreme to the other...im about to try to fix a lucas M35G startewr motor from a 3.5kW WW2 generator set that we have acquired 😀
magnetman Posted November 29, 2024 Report Posted November 29, 2024 23 minutes ago, Rod Stewart said: What grade cells are they though? The drift make a point of stating grade A Eve cells, whilst the drift eco make no mention of the grade. The JK BMS they sell also suggests its designed for use with EVE cells, though they use a JBD bms in most of the assembled batteries. Interestingly, the grade B envision 280Ah suggest a 6000 cycle lifespan, which is pretty good compared to some of the other offerings. Having said that, the grade A eve cells are the same price for more cycles at the same capacity. The Eco also has no heating pad in it. Interesting about the cell grade. I thought they said grade A but you are right there is no reference to the grade. Intriguing. Also the warranty for the eco is 6 rather than 10 years. Cycle life is interesting. I am not sure but I seem to think assembled LFP batteries which are being marketed as suitable for charging at 14.4v by alternators may have a shorter life than plain LFP batteries which are charged at say 13.6v by controllers where you can set the voltage. The 14.4 is advice but may be a bit high and thus the expected life is reduced on an assembled battery marketed as a lead acid replacement.
dmr Posted November 29, 2024 Report Posted November 29, 2024 4 minutes ago, magnetman said: The Eco also has no heating pad in it. Interesting about the cell grade. I thought they said grade A but you are right there is no reference to the grade. Intriguing. Also the warranty for the eco is 6 rather than 10 years. I think the Eco also lacks bluetooth which is a bit of a limitation these days 😀
magnetman Posted November 29, 2024 Report Posted November 29, 2024 1 minute ago, dmr said: I think the Eco also lacks bluetooth which is a bit of a limitation these days 😀 I don't want bluetooth batteries in my electric launch. I could go off shopping and some non specific could stand beside the Boat put their bluetooth on and find out what is in there. Expensive batteries are worth nicking. Maybe the ne'er do well non specifics didn't think of this. What does the battery show up as? My Victron controllers are visible from outside and despite putting individual names on it still says what the hardware is. Security flaw.
Russ T Posted November 29, 2024 Report Posted November 29, 2024 (edited) 11 minutes ago, magnetman said: Cycle life is interesting. I am not sure but I seem to think assembled LFP batteries which are being marketed as suitable for charging at 14.4v by alternators may have a shorter life than plain LFP batteries which are charged at say 13.6v by controllers where you can set the voltage. Yes, I couldn't work out the reason. Perhaps you are correct. If the BMS is user programmable and used in a hybrid configuration, the 14.4V will be too high for the lithium cells anyway, so the listed cycle life may be higher. 2 minutes ago, magnetman said: I could go off shopping and some non specific could stand beside the Boat put their bluetooth on and find out what is in there. Expensive batteries are worth nicking. That is one of the plus points of having a non integrated bluetooth module like the old skool jbd BMS has. Edited November 29, 2024 by Rod Stewart
magnetman Posted November 29, 2024 Report Posted November 29, 2024 (edited) 3 minutes ago, Rod Stewart said: That is one of the plus points of having a non integrated bluetooth module like the old skool jbd BMS has. You mean it is not visible to someone who has the app on their phone? That would be good. Edited November 29, 2024 by magnetman
Russ T Posted November 29, 2024 Report Posted November 29, 2024 Just now, magnetman said: You mean it is not visible to someone who has the app on their phone? That would be good. I unplug the BT module when not in use, though I would hope the newer versions are password protected.
David Mack Posted November 29, 2024 Report Posted November 29, 2024 So is the concensus that if you want the CanBus connection you should go with the Fogstar Drift Pro, but if not, the Fogstar Drift is just as good?
magnetman Posted November 29, 2024 Report Posted November 29, 2024 7 minutes ago, Rod Stewart said: I unplug the BT module when not in use, though I would hope the newer versions are password protected. They will be password protected but they must be visible to the phone app otherwise how would one connect to the device? That is the security flaw. Being visible and identifiable to anyone with a mobile phone running the app. I am guessing the app is freely available.
cheesegas Posted November 29, 2024 Report Posted November 29, 2024 2 minutes ago, David Mack said: So is the concensus that if you want the CanBus connection you should go with the Fogstar Drift Pro, but if not, the Fogstar Drift is just as good? Yep. The Pro does have the advantage of being maintainable in case the BMS needs to be swapped out, the non-Pro is glued shut and would need to be cut open. The 10 year guarantee should mean this never needs to happen, but shipping a 50kg lump back to Fogstar is difficult for most boaters. The Pro does have a slightly higher charge/discharge rating than the non-Pro, however the difference is only 50a comparing like-for-like capacities.
Russ T Posted November 29, 2024 Report Posted November 29, 2024 (edited) 8 minutes ago, magnetman said: They will be password protected but they must be visible to the phone app otherwise how would one connect to the device? That is the security flaw. Being visible and identifiable to anyone with a mobile phone running the app. I am guessing the app is freely available. Yes, I don't know if you can hide BT like you can Wifi. It would be advertising the fact that you potentially have expensive batteries onboard. I remove my BT module primarily because I don't like the idea of people messing with my battery settings (passcode protected or not). Edited November 29, 2024 by Rod Stewart
magnetman Posted November 29, 2024 Report Posted November 29, 2024 4 minutes ago, Rod Stewart said: Yes, I don't know if you can hide BT like you can Wifi. It would be advertising the fact that you potentially have expensive batteries onboard. I remove my BT module primarily because I don't like the idea of people messing with my battery settings (passcode protected or not). Its interesting. With the Victron MPPT one can turn off the bluetooth with the phone but for obvious reasons it has to be switched back on using a computer and a wired connection. It is a basic flaw of a very convenient product but if one can just unplug the BT module that is great. I did wonder about metal box but I am sitting beside my nuclear bunker in another Boat and my app can see the Victron even though there is 5mm steel between me and the unit.
Russ T Posted November 29, 2024 Report Posted November 29, 2024 4 minutes ago, magnetman said: It is a basic flaw of a very convenient product but if one can just unplug the BT module that is great. To be clear, I don't think you can do this on a drop in battery with the newer BMS that has in built BT. My BMS has a seperate BT module, but is a few years old now. You could line the metal box with lead. At the very least, it will stop superman from seeing your Kryptonite stash.
nicknorman Posted November 29, 2024 Report Posted November 29, 2024 49 minutes ago, dmr said: Yes, from what I have read good modern cells stay in balance well so as you say the wasted electricity is minimal. I read on a forum somewhere (a sailing forum???) that the balance current is sometimes/possibly not enough to balance big cells that are significantly out of balance. Maybe a higher current active balancer is easier to implement than a passive one that needs a big resistor?, even though the active one needs more components and inductors? Anyway hope I'm not sounding like MrHo here as I am posting about stuff that I have read and I don't (yet) have any hands on experience 😀 and from one extreme to the other...im about to try to fix a lucas M35G startewr motor from a 3.5kW WW2 generator set that we have acquired 😀 yes I think it's true that the passive balancers build into COTS BMSs are limited to a few 100 milliamps, so if the cells are significantly out of balance they are going to take a very long time to bring back into balance. But really, a battery shouldn't be put into service until the cells are pretty much balanced, and when they are, the balancing system has minimal to zero work to do.
magnetman Posted November 29, 2024 Report Posted November 29, 2024 Thats an idea. This is getting into a 'How d'you like my BMS, don't you think its sexy, come on sugar let me know' type of discussion. Lead is an idea but also defeats the usefulness of being able to check the battery status when on the lavatory. 1
GUMPY Posted November 29, 2024 Report Posted November 29, 2024 42 minutes ago, magnetman said: My Victron controllers are visible from outside and despite putting individual names on it still says what the hardware is. Change the PIN on the Victron stuff prevents access.
Russ T Posted November 29, 2024 Report Posted November 29, 2024 Just now, GUMPY said: Change the PIN on the Victron stuff prevents access. Or if you want someone to break into your neighbours boat, change your victron name to their boat name . Sorted. 2 2
Featured Posts
Create an account or sign in to comment
You need to be a member in order to leave a comment
Create an account
Sign up for a new account in our community. It's easy!
Register a new accountSign in
Already have an account? Sign in here.
Sign In Now